消防规范速查手册
app
附录D 减压孔板的局部阻力系数
太平洋消防网 ☜点我关注!
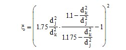
减压孔板的局部阻力系数,取值应按下式计算或按表D确定:
式中 d
k
──减压孔板的孔口直径(m)。
表D 减压孔板的局部阻力系数
dk/dj
0.3
0.4
0.5
0.6
0.7
0.8
ξ
292
83.3
29.5
11.7
4.75
1.83
阅读 2762
发表评论
0评